Információk az előrejelzési versenyhez
Versenyinformációk
A VERSENYSZABÁLYZATÚj előrejelzés elküldése az előrejelzési versenybe
A legutóbbi forduló eredménye
A verseny összesített állása
A 3 kieső fordulót nem tartalmazó összesített lista
A synop-kódok értelmezéséhez egy kis segítség
Szélirány-meghatározáshoz segítség
Stelvio segítségével megjelenített összesített ranglista
Stelvio segítségével megjelenített örökranglista
Stelvio segítségével megjelenített dicsőséglista
A meteorológiai állomások elhelyezkedése
A meteorológiai állomások beosztása
Ha nem cserélem fel a két hőmérsékleti értéket, akkor 21,6 ponttal a második lehettem volna...
Azt nem tudtam, hogy a napijelentésben szereplőt is úgy kerekítik, de megjegyzem
Ettől még lehetne 16 fokos a Tmax (16,5) mivel a térképen felfelé kerekítik a 16,5 fokot.
Viszont az adatoknál 16,6 fok van, így valóban 17 fok a Tmax.
Viszont az adatoknál 16,6 fok van, így valóban 17 fok a Tmax.
A met.hu-s 10 percenkénti csapadéktérképeken is 8:30-kor tűnik fel, szóval 8:20 és 8:30 között kellett esnie. A radar teljesen üres arrafelé nagy területen ekkor. METÉSZ-en sincs nyoma. Nekem automata hibának tűnik.
Örömködtem magamban, hogy elég jó fordulóm lehet, de most látom csak, hogy felcseréltem a Takt-ot és a Tmax-ot...
340° fok nem északi?
Tmin úgy néz ki 12 fok lesz.
Nem leszek gép közelében, így csak kedd este tudok kiesőssel szolgálni.
Tmin úgy néz ki 12 fok lesz.
Nem leszek gép közelében, így csak kedd este tudok kiesőssel szolgálni.
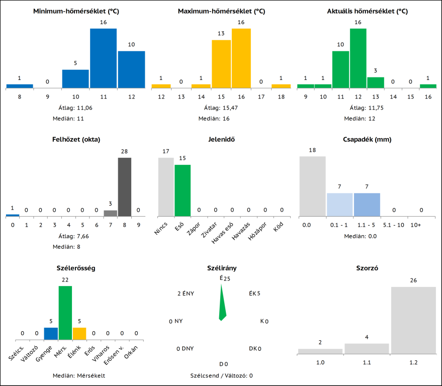
Elkészült az összefoglaló.
Ahogy nézem, a jelenidőn állhat vagy bukhat a forduló. Én gondoltam egy merészet, és beadtam az eső jelenidőt 0 mm csapadékkal, arra alapozva, hogy a mérés előtt 6 órakor még összejön valami kis szitálás vagy szemerkélés, aztán utána már nem lesz mérhető csapadék.
De ahogy nézem, nem csak én gondolkodtam így. 

Tegnap elém került hosszú idö után a nyunyókás néni és rögtön ramtört a szunyóka
Fejlesztők felé egy észrevétel: szélerősség módosítás esetén mindig DK-et ad iránynak a felület. Pl. erősen viharos ÉNy-i szelet mérsékeltre szeretném módosítani, a szélirány DK-i lesz, ahelyett, hogy az eredetileg kiválasztott irányt megtartaná.
Reggel hatig egykettes, aki még nem adta le és szunyókál, az még pár óráig megteheti.
Felőlem lehet, de akkor kérnék egy átfogó revíziót, amelyben természetesen a versenyrendezők hiánytalan létszáma vasszigorral kontollálná az észlelés menetét.
Ráadásul egy ezt követő hajnali koronázás jó eséllyel nem csupán MetNet-es, hanem történelmi kuriózum is lehetne.
No és nem utolsósorban: az említett időpontban az éppen aktuális alkoholfogyasztástól függően akár még a régi, legendás oktamennyiség is elképzelhető lenne.
Ráadásul egy ezt követő hajnali koronázás jó eséllyel nem csupán MetNet-es, hanem történelmi kuriózum is lehetne.
No és nem utolsósorban: az említett időpontban az éppen aktuális alkoholfogyasztástól függően akár még a régi, legendás oktamennyiség is elképzelhető lenne.
Annak Télember is kifejezetten örülne, föleg ha éjfél után lenne
Hejj, de koránra lett kiírva. Lassan gondokozhatok a leadáson, hogy ne kelljen felkelni hajnalban
"A csapadékmennyiség mérésénél a 2018. nyári versenykörtől kezdődően az OMSZ, valamint MetNet állomások esetében egész évben a helyi idő
szerinti 06:45-06:45 közötti időintervallumot vesszük figyelembe, azaz a
versenynap 06:45-től a versenynap utáni nap 06:45-ig számít a lehulló
csapadék mennyisége."
Azaz a vasárnap reggeltől hétfő reggelig mért játszott.
Kiesőst hegesztem lassan.
szerinti 06:45-06:45 közötti időintervallumot vesszük figyelembe, azaz a
versenynap 06:45-től a versenynap utáni nap 06:45-ig számít a lehulló
csapadék mennyisége."
Azaz a vasárnap reggeltől hétfő reggelig mért játszott.
Kiesőst hegesztem lassan.
Jól emlékszem, hogy ugyan a Tmax vasárnapra értendő, de a csapadékmennyiség szombat 8 órától vasárnap reggel 8-ig?
14 órás szél: gyenge keleti (1 m/s, 110°)
A hőmérséklet nem nyugszik, 15:50-kor 25,4°C volt.
A hőmérséklet nem nyugszik, 15:50-kor 25,4°C volt.
Takt: 24,2 fok
Felhőzet: 1 okta
Egész nap 0 okta volt idáig, de csak összejött az a "légypiszok" felhő a versenyidőpontra.
(amúgy cirrus)
Felhőzet: 1 okta
Egész nap 0 okta volt idáig, de csak összejött az a "légypiszok" felhő a versenyidőpontra.
Majd pedig 24,9-ról 4.4 azaz negatív oldalon 20,5es lett. Én is a 24-es Tmax-ot várom, de szerintem csak leányálom.
A biztonság kedvéért azért 4.4°C lett a minimum.
A fikarcnyi felhő/kondenzcsík/madárraj ötletét támogatom, de szerintem a 20 fokos hőingás is elegendő, esetleg 20,1 fokos még lehet
Tegnap a 19 fokot sem érte el a hőingás:
6.2 + 18.7 = 24.9
A fikarcnyi felhő/kondenzcsík/madárraj ötletét támogatom, de szerintem a 20 fokos hőingás is elegendő, esetleg 20,1 fokos még lehet
Tegnap a 19 fokot sem érte el a hőingás:
6.2 + 18.7 = 24.9
4-5, vagy 4,5?
Mindenesetre mindkettő (svájci) óramű pontossággal bejött nekik. 
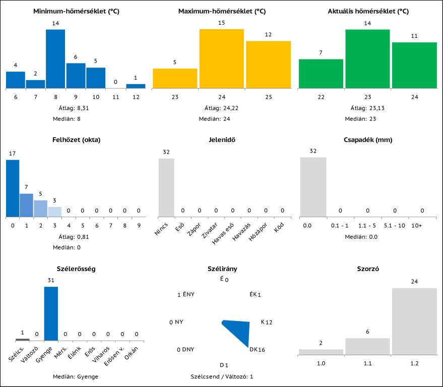
Remélem a 25 fok elérése ma sem lesz probléma Pakson (tegnap összejött), pláne ebben a száraz levegőben. Ha már ilyen nüanszok döntenek ebben a fordulóban, ennek azért örülnék. Meg persze, ha csak egy légypiszoknyi felhő is megjelenne az észlelés idejére. (túl sok a 0 oktás tipp)
Remélem a 25 fok elérése ma sem lesz probléma Pakson (tegnap összejött), pláne ebben a száraz levegőben. Ha már ilyen nüanszok döntenek ebben a fordulóban, ennek azért örülnék. Meg persze, ha csak egy légypiszoknyi felhő is megjelenne az észlelés idejére. (túl sok a 0 oktás tipp)
A svájci modellek vártak 4-5 °C-os minimumokat, de nem hittem nekik.
6:50 4,5°C
És a 4 fokos Tmin is megvan. A Tmin bizonytalansága miatt nem változtattam meg a nyílvánvalóan túl magas, 1,2-sel leadott Tmin-emet. Nem hiszem, hogy 6 foknál kevesebbet adtam volna.
És a 4 fokos Tmin is megvan. A Tmin bizonytalansága miatt nem változtattam meg a nyílvánvalóan túl magas, 1,2-sel leadott Tmin-emet. Nem hiszem, hogy 6 foknál kevesebbet adtam volna.
Elkészült az összefoglaló.
Ritka az ilyen, hogy ennyire egységesek legyenek a tippek, főleg ha a Tmax és Takt-ot nézzük.
Persze meglepetések azért itt is lehetnek, pl. meddig csökken a hőmérséklet (1 órakor a metész szerint 8,9 fok volt), na meg akár a szélcsend is összejöhet, amit csak egyvalaki vállalt be. 

Ha már 67,akkor kicsivel több lehetett, mert a 3%-os hibahatárt is levonják, hogy ne lehessen semmiben hibát találni. Én a Stop táblákat nem ismerem fel. 4-5 személyesen átadott stop táblás dicséretem van. Volt, amit a Mikulás hozott, volt, de amikor a gyereket vittem felvételire.
A gyorshajtást az embereim nem szokták ennyire centizni. Sorolhatnám a 76km/h-s és sok 70-es felelőtlenkedést. Nemrég egy 117eFt-os értesítőt kaptam email oldalamon, azt hittem kiugrik a szívem. Dupla vagy semmi: 100 az 50 helyett... Az olaszoknál 70-es táblánál 77-re küldték a büntetést.
Ha már előrejelzés: ma 14 óráig még büntetlenül - némi felárral - feladhatók a paksi csekkek.
A gyorshajtást az embereim nem szokták ennyire centizni. Sorolhatnám a 76km/h-s és sok 70-es felelőtlenkedést. Nemrég egy 117eFt-os értesítőt kaptam email oldalamon, azt hittem kiugrik a szívem. Dupla vagy semmi: 100 az 50 helyett... Az olaszoknál 70-es táblánál 77-re küldték a büntetést.
Ha már előrejelzés: ma 14 óráig még büntetlenül - némi felárral - feladhatók a paksi csekkek.
Na más; nézzük Paksot, a vízállás magassága remélem hűti a reaktort, nincs visszaáramlás, melegedés.
Amúgy meg, ha csillagos az ég, gyorsan süllyed a T. hajnalban arra felé, a T. minre vagyok majd kíváncsi
Amúgy meg, ha csillagos az ég, gyorsan süllyed a T. hajnalban arra felé, a T. minre vagyok majd kíváncsi
Ez éppen a település vége előtt cirka 60 méterrel volt.
De, hogy mindig ez a bűvös 66-67....Sose 70 vagy 73. Érdekes.
De, hogy mindig ez a bűvös 66-67....Sose 70 vagy 73. Érdekes.
Sajnos jelen időjárási helyzetben a módosítás lehetősége nem áll fenn
Pipa. 
Az esélyegyenlőség érdekében pedig javaslom azoknak is a módosítást, akik már adtak le 1,2-es tippet.
Az esélyegyenlőség érdekében pedig javaslom azoknak is a módosítást, akik már adtak le 1,2-es tippet.
Köszönjük!
Tegnap se szundikáltam, csak a közbejött közúti rendőri közigazgatási eljárás elvitte az időmet és a figyelmemet.
Na, meg a pénzemet is.
Viszont az, hogy állítólag mindig 66 vagy max. 67-tel megyek, legalábbis statisztikailag érdekes tény....
Tegnap se szundikáltam, csak a közbejött közúti rendőri közigazgatási eljárás elvitte az időmet és a figyelmemet.
Na, meg a pénzemet is.
Viszont az, hogy állítólag mindig 66 vagy max. 67-tel megyek, legalábbis statisztikailag érdekes tény....
