Információk az előrejelzési versenyhez
Versenyinformációk
A VERSENYSZABÁLYZATÚj előrejelzés elküldése az előrejelzési versenybe
A legutóbbi forduló eredménye
A verseny összesített állása
A 3 kieső fordulót nem tartalmazó összesített lista
A synop-kódok értelmezéséhez egy kis segítség
Szélirány-meghatározáshoz segítség
Stelvio segítségével megjelenített összesített ranglista
Stelvio segítségével megjelenített örökranglista
Stelvio segítségével megjelenített dicsőséglista
A meteorológiai állomások elhelyezkedése
A meteorológiai állomások beosztása
Gratulálok én is a sok győztesnek eme nehezített pályán, én is elégedett vagyok a 18 ponttal azért.
Gratulálok én is a négyesnek, nekem sem múlt sokon, hogy csatlakozzak, de nem vagyok telhetetlen
Gratula a négyesnek!
Kár, hogy nem voltam bevállalósabb a minimummal, sokat vacilláltam a -20 °C-on is, mert volt több modell, ami -20/-21 °C-os T700-at várt, akkor én is csatlakozhattam volna a nyertes klubhoz.
Kár, hogy nem voltam bevállalósabb a minimummal, sokat vacilláltam a -20 °C-on is, mert volt több modell, ami -20/-21 °C-os T700-at várt, akkor én is csatlakozhattam volna a nyertes klubhoz.
MacBook, Pestimet, honza, met4ever azonos, 20,4 ponttal nyerték a fordulót.
Forduló: Link
Összetett: Link
A következő kiíró stelvio lesz, így szeretnénk kérni egy helyszínt és egy időpontot.
Választható helyszínek:
Békéscsaba [12992]
Budapest-Pestszentlőrinc [12843]
Nagykanizsa [12925]
Paks [12950]
Siófok [metnet-es észlelő]
Zágráb-Maksimir [14240]
Állomások beosztása: Link
Forduló: Link
Összetett: Link
A következő kiíró stelvio lesz, így szeretnénk kérni egy helyszínt és egy időpontot.
Választható helyszínek:
Békéscsaba [12992]
Budapest-Pestszentlőrinc [12843]
Nagykanizsa [12925]
Paks [12950]
Siófok [metnet-es észlelő]
Zágráb-Maksimir [14240]
Állomások beosztása: Link
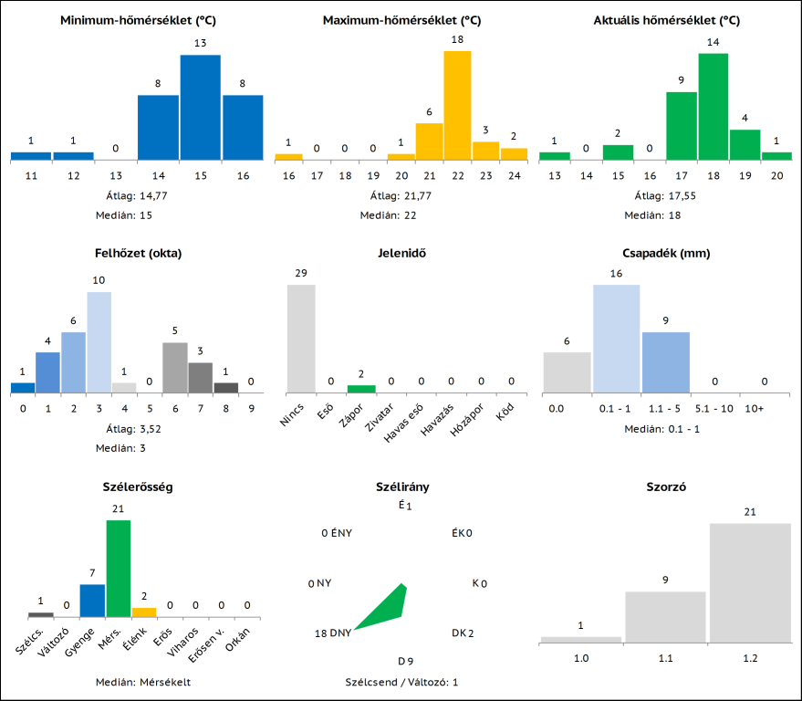
Elkészült az összefoglaló.
Hát ez sem lesz egy unalmas forduló.
A Taktnál van egy +17 érték is, az nem szerepel a diagramon (az átlagban/mediánban viszont igen). Az órás mérések alapján eddig -21,8 fok volt az alja, kérdés, hogy fog-e ennél lejjebb menni reggelig. Én is gondolkodtam a módosításon, de aztán végül bent hagytam az 1.2-es tippet, ha más nem presztízsből is. 

Én rá tudtam nézni, nem teketóriáztam a a -20,7°C-ot látva
Aztán hogy ez mennyit ér, holnap ilyenkor kiderül
Ha a minimumra kapok 2 pontot, akkor már jobban járok, mint az. eredeti tippemmel.
Aztán hogy ez mennyit ér, holnap ilyenkor kiderül
Ha a minimumra kapok 2 pontot, akkor már jobban járok, mint az. eredeti tippemmel.
Lehet, rá kellett volna nézni, mielőtt letelt a határidő. 18 UTC -21,5°C 
2 pont már ugrott is.
2 pont már ugrott is.
A nagy romantikázás mellett este 7-ig azért érdemes lehűteni a kedélyeket, és leadni az 1,2-es tippet.
Pedig most kezdődik a verseny szaftja 3 ezer méter körül... Hajrá szegedi mag... 
Én ránézek minden vesztett 24 órában.(1,1-1,0) .
Én ránézek minden vesztett 24 órában.(1,1-1,0) .
Leadtam egy könnyed 1.2-es tippet, lehet, hogy ez esetben jobb rá sem nézni a versenynapig
Köszi mindenkinek, kellett már ez, mint egy falat kenyér, borzalmasan gyenge szezonjaim vannak, úgyhogy 1-1 fordulógyőzelem jó időre motivációt biztosít
Negyedrészt meg is nyerted, gratula! 
A tökéletes forduló szükséges tartozéka a nem elfelejtés
Lomnic csúcs lesz
A tökéletes forduló szükséges tartozéka a nem elfelejtés
Lomnic csúcs lesz
Gratulálok Kornélnak!
Én végül csak 0,4 pontot nyertem a tippmódosítással, de legalább így jobb lett, mint az eredeti.
A kékesi oktákat meg inkább hagyjuk...
A kékesi oktákat meg inkább hagyjuk...
Ha megadták volna az egyébként valósnak tűnő 1 oktát, akkor csak 1 pontot veszettem volna a Takt-tal, és nyertem is volna. 
De azért így is az utóbbi időszakom legjobb fordulója ez, és azt mondom, innen már csak felfelé, úgyhogy Lomnici-csúcs, jövő hétfő (17-e) 18 UTC.
De azért így is az utóbbi időszakom legjobb fordulója ez, és azt mondom, innen már csak felfelé, úgyhogy Lomnici-csúcs, jövő hétfő (17-e) 18 UTC.
A magaslati fordulót Kornél nyerte. Gratulálok neki! 
Forduló: Link
Összetett: Link
A következő kiíró Zivipötty lesz, így szeretnénk kérni egy helyszínt és egy időpontot.
Választható helyszínek:
Békéscsaba [12992]
Budapest-Pestszentlőrinc [12843]
Lomnici-csúcs (Lomnicky Stít) [11930]
Nagykanizsa [12925]
Paks [12950]
Siófok [metnet-es észlelő]
Zágráb-Maksimir [14240]
Állomások beosztása: Link
Forduló: Link
Összetett: Link
A következő kiíró Zivipötty lesz, így szeretnénk kérni egy helyszínt és egy időpontot.
Választható helyszínek:
Békéscsaba [12992]
Budapest-Pestszentlőrinc [12843]
Lomnici-csúcs (Lomnicky Stít) [11930]
Nagykanizsa [12925]
Paks [12950]
Siófok [metnet-es észlelő]
Zágráb-Maksimir [14240]
Állomások beosztása: Link
Nemrég (20 perce) jöttem el Hatvanból, ott is megadható volt az 1 okta.
Egy dologban azért bízhatunk: Az alkonyati, illetve "napnyugtai" égbolt jobban előhozza a magas szintű felhők kontúrjait a nyugati égbolt alján...
Mondjuk ez a felhőzettel azért lehet szívás lesz, még Pestre is 0 oktát adott most, amikor a műholdkép alapján már minimum 1, de lehet 2 okta Cirrus is van, és a piszkéstetői kamerán is látszik a felhőmező széle a horizont felett.
Gyenge szél, tűz a Nap, meg is van az eredménye....azért nem gondoltam volna, hogy befigyel egy 0 fok is (legalább is a met.hu térképen)
Beosztás szerint Kékestetőnek kellene észlelnie, de valószínűleg Egerrel cserélhetett, így távészlelés megy Kékestetőre. Szerencsére felhő nincs meg semmi szignifikáns, így ezt fogjuk most kivételesen elfogadni.
Látom, 6:40-kor beficcent. Előtte-utána -4,5°C. Hát ez pech a -4-eseknek, öröm a -5 fokosoknak. Nem baj, ha a többi telitalálat, még jó
Elkészült az összefoglaló.
A múlt hetihez hasonlóan ez is egy egész könnyed fordulónak tűnik.

Nem tudom, ti találkoztatok-e mostanában a korábban gyakori jelenséggel, miszerint amikor meg akarom nézni a leadott előrémet, akkor magától - anélkül, hogy az új előre ablakot megnyitnám - lead egy tippet. Korábban előfordult, hogy egy alapra állítottat, most a korábbit ismételte meg. Csak éppen ezzel az 1,2-es ment a lecsóba. Most nem okoz problémát, mert egyébként is felül akartam írni, így nem ért veszteség
DE ha mégsem módosítottam volna, akkor nagyon bosszantó lenne. Az a furcsa, hogy ezt a jelenséget már régóta nem tapasztaltam.
Az utolsó pillanatban beadtam a derekam és módosítottam, mert elég alacsonynak ítéltem a hőmérsékleteimet. Várható némi hidegadvekció fent, de a -6/-3/-4 T-triót alacsonynak éreztem, plusz K-->DK szél. A magasabb szinteken inkább délkeleti szél várható. (szerintem) Persze még az erősség is necces lehet (gyenge/mérsékelt), de azon nem változtattam, ahogy a felhőzeten sem. (#nemötokta
)
Tamás is mondja feszt, hogy nehéz előre tutit mondani 4-7 napra is. Az egyketteseknek nagy szerencse is kell, hogy a 16,8 (14) pont fölé kerüljenek.
Most talán még nyugisabb hét elé nézünk, sok lesz talán az átlagjavító tipp. De azért vannak meglepik, pláne 500 méter felett, télen is.
Most talán még nyugisabb hét elé nézünk, sok lesz talán az átlagjavító tipp. De azért vannak meglepik, pláne 500 méter felett, télen is.
Többszörösen ritka alkalom a mostani: egyrészt nem felejtettem el az 1.2-est, másrészt nem felejtettem el ránézni még egyszer, hogy tartható-e, hamradrészt (most még úgy gondolom), hogy tartható
Aztán lesz 8 pontom
Na akkor kialakul valahogy. Kicsit bicegős ez a téli kör, mint Szegeden a rendező pu. váltócsere után. 

Van egy film; "ha kedd akkor Kékestető ! (Belgium!)
Van egy film; "ha kedd akkor Kékestető ! (Belgium!)
Bocs és köszi, hétfőt akartam valójában, de látom elcsúsztam a táblázatban egy sorral.
Természetesen kedd a versenyidőpont, ahogy a "forduló időpontjánál" szerepel, csak hittem MacBook-nak, hogy az a nap hétfő lesz, így a szöveges részbe véletlenül azt írtam be.
Forduló időpontja: 2025. 02. 11. kedd 17 óra
Beküldési határidők
1.2-s szorzó: 2025. 02. 08. szombat 17 óra (érvényben)
1.1-s szorzó: 2025. 02. 09. vasárnap 17 óra
1.0-s szorzó: 2025. 02. 10. hétfő 17 óra
Tomit kértem, hogy javítsa a szöveges részt majd. Szóval ne hétfőre tippeljetek!
Forduló időpontja: 2025. 02. 11. kedd 17 óra
Beküldési határidők
1.2-s szorzó: 2025. 02. 08. szombat 17 óra (érvényben)
1.1-s szorzó: 2025. 02. 09. vasárnap 17 óra
1.0-s szorzó: 2025. 02. 10. hétfő 17 óra
Tomit kértem, hogy javítsa a szöveges részt majd. Szóval ne hétfőre tippeljetek!

